马尔可夫人口论_马尔可夫信源状态图(2)
日期:2021-06-22 类别:热点图片 浏览:
论文研究 广义马尔可夫流体模型中有效带宽的估计量的性质
时变时滞马尔可夫跳跃系统的基于扰动观测器的控制
摄动马尔可夫决策与哈密尔顿圈 刘克 中国科学技术大学出版社
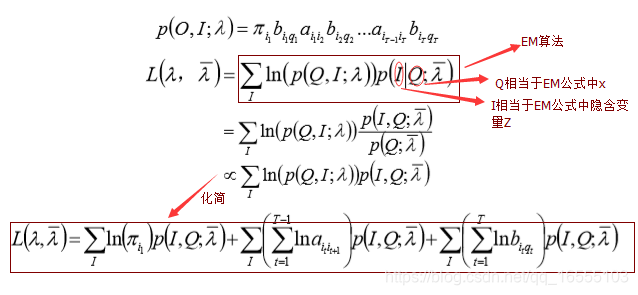
隐马尔可夫模型
论文研究 HetNets中基于马尔可夫切换和负载均衡的性能分析
HMM 隐马尔可夫 MEMM 最大熵马尔科夫 CRF 条件随机场
马尔可夫过程
一站式解决 隐马尔可夫模型 HMM 全过程推导及实现
一站式解决 隐马尔可夫模型 HMM 全过程推导及实现
量化专题 隐马尔可夫模型商品期货应用初探
隐马尔可夫模型 HMM 维比特算法
齐次可列马尔可夫过程
齐次可列马尔可夫过程
隐马尔可夫模型 HMM 及Viterbi算法
推荐阅读
相关文章
- 总排名
- 每月排行
- 推荐阅读
- 阅读排行















