马尔可夫人口论_马尔可夫信源状态图
日期:2021-06-22 类别:热点图片 浏览:
安德雷 马尔可夫 俄国数学家 百科
马尔可夫,Α.Α. 马尔可夫,Α.Α.图片
图马尔可夫网络 融合统计关系学习与图神经网络
终极入门 马尔可夫网络 Markov Networks 概率图模型
马尔可夫链的原理简介
马尔可夫
马尔可夫系列概念
隐马尔可夫 HMM 理解
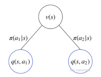
马尔可夫Markov决策过程
隐马尔可夫 HMM 理解
讲真, 语文课是数学老师教的 竟然不是玩笑话
马尔可夫链
正马尔可夫跳跃系统的非脆弱控制
马尔可夫过程和今日数学
马尔可夫过程和今日数学
隐马尔可夫模型
摄动马尔可夫决策与哈密尔顿圈 ,9787312022418
马尔可夫过程
马尔可夫模型
隐马尔可夫模型
隐马尔可夫模型 HMM
推荐阅读
相关文章
- 总排名
- 每月排行
- 推荐阅读
- 阅读排行





















