滕州人口数_滕州日报数字报(2)
日期:2019-05-14 类别:热点图片 浏览:

JPG,400x224,128KB,447_249
高考即将开始,滕州市建工局组织执法人员对辖区内施工现场进行

JPG,300x217,134KB,346_250
滕州日报数字报

JPG,400x247,128KB,405_250
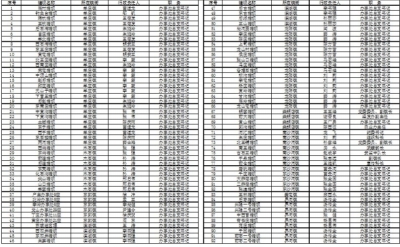
滕州日报数字报 全市防汛分部及工程行政责任人公示
JPG,640x446,231KB,359_250
滕州 昨晚市中心一场大火惊醒了无数人

JPG,400x272,233KB,367_250
滕州日报数字报 市人大为人口计生工作建言献策

JPG,350x520,231KB,249_372
滕州日报数字报

JPG,614x437,231KB,352_249
在滕州市博物馆,记者看到这些刚被挖掘出来的文物,有陶器,铜剑,

JPG,700x323,231KB,543_250
局山东调查总队滕州调查队科员岗位目前有2人通过审查,水务不淮河

JPG,640x480,128KB,333_250
017年省1 人口抽样调查培训工作会议 -滕州市滨湖镇

JPG,349x520,231KB,250_373
滕州日报数字报 保健食品从业人员知识竞赛开赛

JPG,349x520,231KB,250_373
滕州日报数字报 关于2014年度经济适用住房 安康花园二期 购买资格中

JPG,595x842,232KB,249_353
地理 商务星球版 八年级上册 第一章 第二节 众多的人口

JPG,500x315,128KB,396_250
震中距我市滕州市65公里、距山亭 3、移动人口大数据分析图_ 4、震
JPG,1080x732,128KB,369_250
滕州大案 团伙人数100余人,48人被刑拘 视频

JPG,400x404,231KB,254_257
滕州日报数字报 州 十佳人物候选人
推荐阅读
相关文章
- 总排名
- 每月排行
- 推荐阅读
- 阅读排行